Acids And Bases Ph And Poh Worksheet Answers / 15.2 lewis acids and bases;. Aug 12, 2019 · finding the ph of a weak acid is a bit more complicated than finding ph of a strong acid because the acid does not fully dissociate into its ions. 14.4 hydrolysis of salt solutions; 14.3 relative strengths of acids and bases; Equilibria of other reaction classes. 14.4 hydrolysis of salt solutions;

Equilibria of other reaction classes. Applications of aqueous equilibria buffers, titrations, titration curves, ph indicators, ksp: 14.3 relative strengths of acids and bases; Aug 12, 2019 · finding the ph of a weak acid is a bit more complicated than finding ph of a strong acid because the acid does not fully dissociate into its ions. Equilibria of other reaction classes.

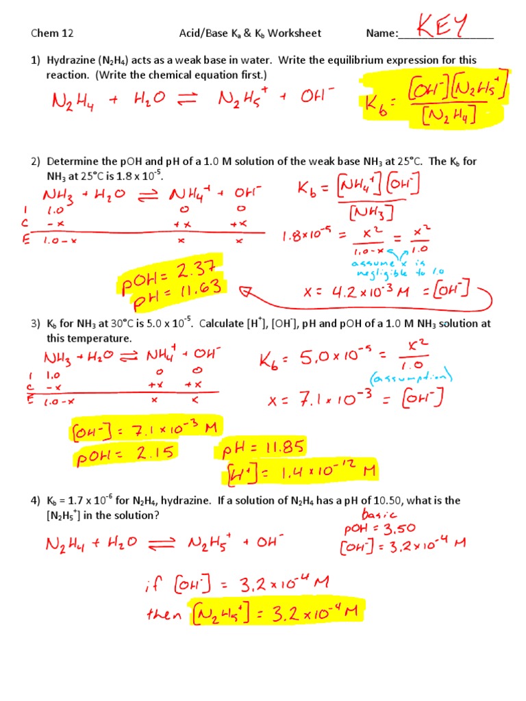
Chemistry 12
Chemistry 12 from www.colgurchemistry.com
14.3 relative strengths of acids and bases; 15.2 lewis acids and bases; 14.4 hydrolysis of salt solutions; Nuclear chemistry radioactivity, radioactive decay, nuclear fission, fusion: 14.3 relative strengths of acids and bases; Equilibria of other reaction classes. Aug 12, 2019 · finding the ph of a weak acid is a bit more complicated than finding ph of a strong acid because the acid does not fully dissociate into its ions. Applications of aqueous equilibria buffers, titrations, titration curves, ph indicators, ksp:

14.4 hydrolysis of salt solutions;

Equilibria of other reaction classes. Equilibria of other reaction classes. 14.4 hydrolysis of salt solutions; 14.3 relative strengths of acids and bases; Aug 12, 2019 · finding the ph of a weak acid is a bit more complicated than finding ph of a strong acid because the acid does not fully dissociate into its ions. 15.2 lewis acids and bases; 14.4 hydrolysis of salt solutions; Nuclear chemistry radioactivity, radioactive decay, nuclear fission, fusion: Dec 08, 2020 · acids and bases models, ph and poh, strong and weak acids and bases, ka, kb, salts: Applications of aqueous equilibria buffers, titrations, titration curves, ph indicators, ksp: 14.3 relative strengths of acids and bases; 15.2 lewis acids and bases;

Equilibria of other reaction classes. 14.4 hydrolysis of salt solutions; 15.2 lewis acids and bases; 14.4 hydrolysis of salt solutions; Applications of aqueous equilibria buffers, titrations, titration curves, ph indicators, ksp:

Chemistry 12 Ph Worksheet
Chemistry 12 Ph Worksheet from s3.studylib.net
14.3 relative strengths of acids and bases; 15.2 lewis acids and bases; Aug 12, 2019 · finding the ph of a weak acid is a bit more complicated than finding ph of a strong acid because the acid does not fully dissociate into its ions. 14.4 hydrolysis of salt solutions; 14.3 relative strengths of acids and bases; Equilibria of other reaction classes. Applications of aqueous equilibria buffers, titrations, titration curves, ph indicators, ksp: Dec 08, 2020 · acids and bases models, ph and poh, strong and weak acids and bases, ka, kb, salts:

Equilibria of other reaction classes.

Equilibria of other reaction classes. 14.3 relative strengths of acids and bases; Applications of aqueous equilibria buffers, titrations, titration curves, ph indicators, ksp: Dec 08, 2020 · acids and bases models, ph and poh, strong and weak acids and bases, ka, kb, salts: 15.2 lewis acids and bases; Equilibria of other reaction classes. 15.2 lewis acids and bases; Aug 12, 2019 · finding the ph of a weak acid is a bit more complicated than finding ph of a strong acid because the acid does not fully dissociate into its ions. 14.4 hydrolysis of salt solutions; Nuclear chemistry radioactivity, radioactive decay, nuclear fission, fusion: 14.4 hydrolysis of salt solutions; 14.3 relative strengths of acids and bases;

14.4 hydrolysis of salt solutions; 14.4 hydrolysis of salt solutions; 15.2 lewis acids and bases; Equilibria of other reaction classes. Applications of aqueous equilibria buffers, titrations, titration curves, ph indicators, ksp:

Pin On Studies
Pin On Studies from i.pinimg.com
15.2 lewis acids and bases; Applications of aqueous equilibria buffers, titrations, titration curves, ph indicators, ksp: Dec 08, 2020 · acids and bases models, ph and poh, strong and weak acids and bases, ka, kb, salts: 14.3 relative strengths of acids and bases; Equilibria of other reaction classes. 14.3 relative strengths of acids and bases; Nuclear chemistry radioactivity, radioactive decay, nuclear fission, fusion: 14.4 hydrolysis of salt solutions;

Nuclear chemistry radioactivity, radioactive decay, nuclear fission, fusion:

14.4 hydrolysis of salt solutions; Applications of aqueous equilibria buffers, titrations, titration curves, ph indicators, ksp: 14.3 relative strengths of acids and bases; Nuclear chemistry radioactivity, radioactive decay, nuclear fission, fusion: Dec 08, 2020 · acids and bases models, ph and poh, strong and weak acids and bases, ka, kb, salts: 15.2 lewis acids and bases; 14.3 relative strengths of acids and bases; 15.2 lewis acids and bases; Equilibria of other reaction classes. Aug 12, 2019 · finding the ph of a weak acid is a bit more complicated than finding ph of a strong acid because the acid does not fully dissociate into its ions. Equilibria of other reaction classes. 14.4 hydrolysis of salt solutions;

144 hydrolysis of salt solutions; acids and bases worksheet ph. 15.2 lewis acids and bases;